当前位置:首页>笔试招聘真题>山东大学强基计划历年笔试面试真题解析汇总

山东大学强基计划历年笔试面试真题解析汇总

  • 2026-03-25 10:13:08
山东大学强基计划历年笔试面试真题解析汇总
山东大学2020级哲学强基班考核分流结果公示
山东大学2023年强基计划招生简章,附2022入围录取跟进分数线
2022-2025山东大学强基计划录取分数线
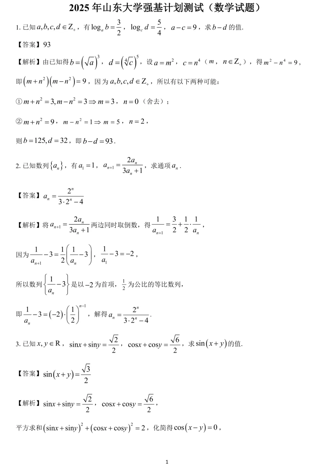
山东大学2025年强基计划笔试数学真题
山东大学强基计划2025年笔试面试考什么科目,面试流程介绍,往年真题及面试培训冲刺班
山东大学2025年强基计划招生简章

山东大学强基计划历年真题全解(附考情分析)

一、核心考情概览

1. 招生专业与入围规则

招生专业:数学与应用数学、物理学、化学、生物科学、生物医学科学、汉语言文学(古文字学方向)、历史学、哲学共 8 个专业
入围比例:分省分专业计划数的4 倍择优确定入围名单,末位同分均入围
破格入围:五大学科竞赛全国决赛二等奖及以上获得者,高考达本科一批线可破格入围
综合成绩计算:综合成绩 = 高考成绩 (折合百分制)×85% + 校测成绩 (百分制)×15%,校测 = 笔试 (50%)+ 面试 (50%)

2. 校测形式与流程

2025 分专业笔试
重点考察学科基础知识、理论与能力 多对一半结构化,10 分钟,100 分,考察综合素质、创新能力、科研潜质

二、笔试真题分类精解

(一)理科类笔试真题

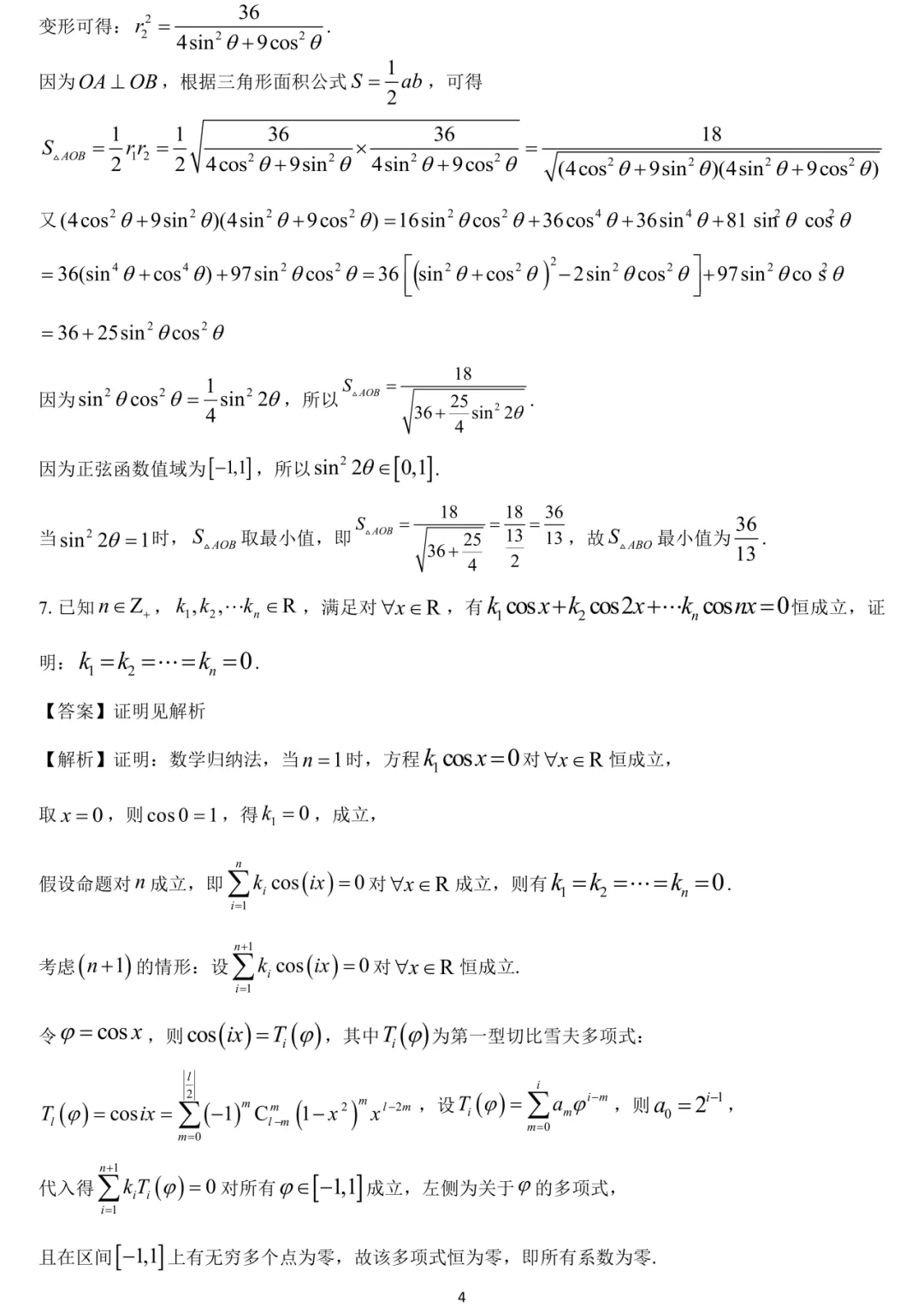
1. 数学专业真题(2025 年回忆版)

答案解析

2. 数学专业真题(2023 年回忆版)

3. 历史专业真题(2025 年回忆版)

国外史学界认为长城以北不属于中国,请根据史实对此观点进行评析
中国古代史 / 疆域 1. 秦汉设郡管理长城以北;2. 唐朝设都护府管辖西域、漠北;3. 元朝将岭北纳入行省;4. 清朝对蒙古、新疆、西藏实行有效统治;5. 长城是防御工事而非疆界
2025 年是抗战胜利 80 周年,研究中国抗日战争史应关注哪些问题(从史实和方法角度)
近代史 / 研究方法 1. 史实:战场战役、敌后抗战、国际援助、伤亡数据;2. 方法:档案研究、口述史、比较研究、跨学科视角
评析和平共处五项原则的国际影响与现实意义
当代史 / 外交 1. 国际影响:成为国际关系基本准则;2. 现实意义:推动构建人类命运共同体;3. 与西方霸权主义对比

4. 物理专业真题(2024-2025 年回忆版)

简述半导体和绝缘体放在一起如何导电
固体物理 / 能带理论 半导体与绝缘体接触形成 pn 结,在正向偏压下,电子从 n 区流向 p 区,空穴从 p 区流向 n 区,形成电流
为什么电阻率随温度升高而升高?
固体物理 / 电子散射 金属中,温度升高使晶格振动加剧,电子散射概率增大,电阻率升高;半导体则相反,温度升高使载流子浓度增加,电阻率降低
电风扇是怎么工作的?
电磁感应 / 电机原理 交流电通过定子绕组产生旋转磁场,转子绕组切割磁感线产生感应电流,受到安培力作用旋转,带动扇叶

(二)文科类笔试真题

1. 历史专业真题(2025 年回忆版)

评析国外史学界关于 "长城以北不属于中国" 的错误观点(见上)
研究中国抗日战争史应关注的问题(见上)
和平共处五项原则的国际影响与现实意义(见上)

2. 汉语言文学(古文字学方向)真题(2025 年回忆版)

分析甲骨文 "王" 字的字形演变及其文化内涵
简述许慎《说文解字》的体例与学术价值
解释 "六书" 理论,并举例说明每种造字法

三、面试真题分类精解

(一)理科专业面试真题(2024-2025 年回忆版)

1. 物理专业面试真题

半导体和绝缘体放在一起如何导电?
形成 pn 结,正向偏压下电子和空穴分别向对方区域移动,形成电流;反向偏压下耗尽层变宽,几乎无电流
蚂蚁从 10 层楼摔下来会不会摔死?
不会。空气阻力与速度平方成正比,蚂蚁质量小,最终会达到较小的收尾速度,落地时冲击力小
大树会无限长高吗?
不会。受重力、水分运输、光合作用效率限制,树木高度有极限(一般不超过 130 米)
零线和火线的区别是什么?
火线对地电压 220V,零线对地电压 0V;电流从火线流向零线形成回路;零线有保护接地
为什么有些物质是透明的,有些是不透明的?
取决于物质对光的吸收和散射:透明物质(如玻璃)对可见光吸收少、散射小;不透明物质(如金属)对可见光吸收多或散射大

2. 化学专业面试真题

为什么水的沸点比硫化氢高?
水分子间存在氢键,而硫化氢分子间只有范德华力,氢键作用力更强,需要更高温度破坏
简述 pH 试纸的工作原理
pH 试纸含酸碱指示剂,遇不同 pH 值溶液会发生结构变化,显示不同颜色,对照标准比色卡可测 pH 值
为什么铁会生锈而铝不会?
铁生锈生成的氧化铁疏松,不能保护内部;铝生锈生成的氧化铝致密,能隔绝空气和水,保护内部

3. 生物专业面试真题

为什么 DNA 是双螺旋结构?
双螺旋结构稳定,碱基互补配对保证遗传信息准确传递,氢键和碱基堆积力维持结构稳定
简述酶的催化作用特点
高效性、专一性、作用条件温和、可调节性,通过降低反应活化能加速反应

(二)文科专业面试真题(2024-2025 年回忆版)

1. 历史专业面试真题

题目 参考解析要点
为什么选择历史专业?
结合个人兴趣、历史学习经历、对历史学价值的认识(如以史为鉴、传承文化)
对历史哪个阶段最感兴趣?为什么?
选择某一阶段(如唐宋、明清),从政治、经济、文化等方面分析其独特性和研究价值
第二次鸦片战争爆发的背景是什么?
工业革命后英国等列强要求扩大侵华权益,清政府拒绝,列强以 "亚罗号事件" 和 "马神甫事件" 为借口发动战争
谈谈对科举制的看法
积极:打破门阀制度,扩大统治基础,促进教育发展;消极:束缚思想,阻碍科技进步;总体上对中国古代社会影响深远

2. 哲学专业面试真题

如何理解 "哲学是科学之科学"?
这种说法不准确。哲学为科学提供世界观和方法论指导,但不能替代具体科学;科学为哲学提供实证基础
你认为什么是幸福?
从物质、精神、社会关系等方面阐述,结合哲学观点(如亚里士多德的 "幸福是最高善")
如何平衡个人自由与社会责任?
个人自由以不损害他人和社会利益为前提;社会责任是个人自由的保障,两者相互依存

(三)综合素质类面试真题(通用)

如果给你一元钱,你会买什么? 体现价值观和创造力,如买种子(象征希望和成长)、买铅笔(象征学习和思考)等
如果有了一百万,你会如何花? 合理分配:部分用于学习深造,部分用于科研项目,部分用于公益事业,部分储蓄
为何选择山东大学强基计划的这个专业? 结合山大专业优势(如数学、物理、历史等学科实力)、个人兴趣、强基计划培养模式(本硕博衔接)
你如何平衡强基计划的基础研究与未来职业发展? 基础研究是职业发展的根基,培养思维能力和创新意识;职业发展反哺基础研究,提供应用方向
如果你在实验中遇到设备故障导致数据可能丢失,且期限临近,你会怎么做? 先尝试修复设备或备份数据;若无法修复,如实记录情况,与导师沟通,申请延期或调整方案

四、备考建议

夯实学科基础:重点复习高考核心知识点,理科生适当拓展高等数学前两章、大学物理基础内容,文科生加强经典文献阅读和历史事件分析能力
熟悉山大特色:了解山东大学在数学、物理、历史等领域的优势(如数学学科 ESI 排名全球前 1%)和知名学者
强化思维训练:练习无计算器计算,培养逻辑推理和快速反应能力,面试时注重表达清晰、有条理
模拟面试准备:准备 1 分钟自我介绍,练习专业问题快速思考与表达,关注学科前沿和社会热点
重视体质测试:提前进行体育锻炼,确保体质测试合格(三项选两项:如 50 米跑、立定跳远、跳绳)

五、总结

山东大学强基计划笔试分专业命题,理科侧重学科基础知识和应用能力,文科侧重文献分析和理论理解;面试采用多对一半结构化形式,注重考查学生的专业兴趣、创新思维和综合素质。备考需兼顾高考与校测,夯实基础,提升能力,同时展现对基础学科的热爱与追求,以及对山东大学的认同感。

备考方案1:

山东大学强基计划数学专业版备考资料

包含

1、2021-2025年山东大学强基计划数学笔试回忆模拟题及解答

2、山东大学强基计划面试真题及解答

3、山东大学强基计划面试备考技巧

4、强基计划数学真题集

5、2026时事热点汇总

自我介绍、未来规划模板(面试必备)

赠送强基计划面试通用录播课(10小时)

备考方案2:

山东大学强基计划面试集训班--鸡蛋教育

⏰ 开班时间:每日开班,灵活排班

📌 授课形式:线上腾讯会议(支持回放)

💡 课程内容(4 小时):

1h 近 3 年真题分类解析(自我认知 / 社会热点 / 专业题等 6 大题型)

1h 应答技巧(专业问题拆解逻辑 + 临场应变方法)

2h 全真模拟(还原  面试场景,考官实时点评)

🎓 师资力量:985/211 院校背景,3 年 + 综评培训经验,部分参与高校面试评审

✅ 过往成果:往年学员通过率 70%+

🎁 增值服务:赠《真题汇编》《时政热点集》,课后免费答疑

购买咨询微信3297902853

最新文章

随机文章

基本 文件 流程 错误 SQL 调试
  1. 请求信息 : 2026-04-04 18:14:41 HTTP/2.0 GET : https://f.15386.cn/a/459737.html
  2. 运行时间 : 0.080196s [ 吞吐率:12.47req/s ] 内存消耗:4,585.23kb 文件加载:140
  3. 缓存信息 : 0 reads,0 writes
  4. 会话信息 : SESSION_ID=b8e57326a82c56f52fd3e7b5c606eec6
  1. /yingpanguazai/ssd/ssd1/www/f.15386.cn/public/index.php ( 0.79 KB )
  2. /yingpanguazai/ssd/ssd1/www/f.15386.cn/vendor/autoload.php ( 0.17 KB )
  3. /yingpanguazai/ssd/ssd1/www/f.15386.cn/vendor/composer/autoload_real.php ( 2.49 KB )
  4. /yingpanguazai/ssd/ssd1/www/f.15386.cn/vendor/composer/platform_check.php ( 0.90 KB )
  5. /yingpanguazai/ssd/ssd1/www/f.15386.cn/vendor/composer/ClassLoader.php ( 14.03 KB )
  6. /yingpanguazai/ssd/ssd1/www/f.15386.cn/vendor/composer/autoload_static.php ( 4.90 KB )
  7. /yingpanguazai/ssd/ssd1/www/f.15386.cn/vendor/topthink/think-helper/src/helper.php ( 8.34 KB )
  8. /yingpanguazai/ssd/ssd1/www/f.15386.cn/vendor/topthink/think-validate/src/helper.php ( 2.19 KB )
  9. /yingpanguazai/ssd/ssd1/www/f.15386.cn/vendor/topthink/think-orm/src/helper.php ( 1.47 KB )
  10. /yingpanguazai/ssd/ssd1/www/f.15386.cn/vendor/topthink/think-orm/stubs/load_stubs.php ( 0.16 KB )
  11. /yingpanguazai/ssd/ssd1/www/f.15386.cn/vendor/topthink/framework/src/think/Exception.php ( 1.69 KB )
  12. /yingpanguazai/ssd/ssd1/www/f.15386.cn/vendor/topthink/think-container/src/Facade.php ( 2.71 KB )
  13. /yingpanguazai/ssd/ssd1/www/f.15386.cn/vendor/symfony/deprecation-contracts/function.php ( 0.99 KB )
  14. /yingpanguazai/ssd/ssd1/www/f.15386.cn/vendor/symfony/polyfill-mbstring/bootstrap.php ( 8.26 KB )
  15. /yingpanguazai/ssd/ssd1/www/f.15386.cn/vendor/symfony/polyfill-mbstring/bootstrap80.php ( 9.78 KB )
  16. /yingpanguazai/ssd/ssd1/www/f.15386.cn/vendor/symfony/var-dumper/Resources/functions/dump.php ( 1.49 KB )
  17. /yingpanguazai/ssd/ssd1/www/f.15386.cn/vendor/topthink/think-dumper/src/helper.php ( 0.18 KB )
  18. /yingpanguazai/ssd/ssd1/www/f.15386.cn/vendor/symfony/var-dumper/VarDumper.php ( 4.30 KB )
  19. /yingpanguazai/ssd/ssd1/www/f.15386.cn/vendor/topthink/framework/src/think/App.php ( 15.30 KB )
  20. /yingpanguazai/ssd/ssd1/www/f.15386.cn/vendor/topthink/think-container/src/Container.php ( 15.76 KB )
  21. /yingpanguazai/ssd/ssd1/www/f.15386.cn/vendor/psr/container/src/ContainerInterface.php ( 1.02 KB )
  22. /yingpanguazai/ssd/ssd1/www/f.15386.cn/app/provider.php ( 0.19 KB )
  23. /yingpanguazai/ssd/ssd1/www/f.15386.cn/vendor/topthink/framework/src/think/Http.php ( 6.04 KB )
  24. /yingpanguazai/ssd/ssd1/www/f.15386.cn/vendor/topthink/think-helper/src/helper/Str.php ( 7.29 KB )
  25. /yingpanguazai/ssd/ssd1/www/f.15386.cn/vendor/topthink/framework/src/think/Env.php ( 4.68 KB )
  26. /yingpanguazai/ssd/ssd1/www/f.15386.cn/app/common.php ( 0.03 KB )
  27. /yingpanguazai/ssd/ssd1/www/f.15386.cn/vendor/topthink/framework/src/helper.php ( 18.78 KB )
  28. /yingpanguazai/ssd/ssd1/www/f.15386.cn/vendor/topthink/framework/src/think/Config.php ( 5.54 KB )
  29. /yingpanguazai/ssd/ssd1/www/f.15386.cn/config/app.php ( 0.95 KB )
  30. /yingpanguazai/ssd/ssd1/www/f.15386.cn/config/cache.php ( 0.78 KB )
  31. /yingpanguazai/ssd/ssd1/www/f.15386.cn/config/console.php ( 0.23 KB )
  32. /yingpanguazai/ssd/ssd1/www/f.15386.cn/config/cookie.php ( 0.56 KB )
  33. /yingpanguazai/ssd/ssd1/www/f.15386.cn/config/database.php ( 2.48 KB )
  34. /yingpanguazai/ssd/ssd1/www/f.15386.cn/vendor/topthink/framework/src/think/facade/Env.php ( 1.67 KB )
  35. /yingpanguazai/ssd/ssd1/www/f.15386.cn/config/filesystem.php ( 0.61 KB )
  36. /yingpanguazai/ssd/ssd1/www/f.15386.cn/config/lang.php ( 0.91 KB )
  37. /yingpanguazai/ssd/ssd1/www/f.15386.cn/config/log.php ( 1.35 KB )
  38. /yingpanguazai/ssd/ssd1/www/f.15386.cn/config/middleware.php ( 0.19 KB )
  39. /yingpanguazai/ssd/ssd1/www/f.15386.cn/config/route.php ( 1.89 KB )
  40. /yingpanguazai/ssd/ssd1/www/f.15386.cn/config/session.php ( 0.57 KB )
  41. /yingpanguazai/ssd/ssd1/www/f.15386.cn/config/trace.php ( 0.34 KB )
  42. /yingpanguazai/ssd/ssd1/www/f.15386.cn/config/view.php ( 0.82 KB )
  43. /yingpanguazai/ssd/ssd1/www/f.15386.cn/app/event.php ( 0.25 KB )
  44. /yingpanguazai/ssd/ssd1/www/f.15386.cn/vendor/topthink/framework/src/think/Event.php ( 7.67 KB )
  45. /yingpanguazai/ssd/ssd1/www/f.15386.cn/app/service.php ( 0.13 KB )
  46. /yingpanguazai/ssd/ssd1/www/f.15386.cn/app/AppService.php ( 0.26 KB )
  47. /yingpanguazai/ssd/ssd1/www/f.15386.cn/vendor/topthink/framework/src/think/Service.php ( 1.64 KB )
  48. /yingpanguazai/ssd/ssd1/www/f.15386.cn/vendor/topthink/framework/src/think/Lang.php ( 7.35 KB )
  49. /yingpanguazai/ssd/ssd1/www/f.15386.cn/vendor/topthink/framework/src/lang/zh-cn.php ( 13.70 KB )
  50. /yingpanguazai/ssd/ssd1/www/f.15386.cn/vendor/topthink/framework/src/think/initializer/Error.php ( 3.31 KB )
  51. /yingpanguazai/ssd/ssd1/www/f.15386.cn/vendor/topthink/framework/src/think/initializer/RegisterService.php ( 1.33 KB )
  52. /yingpanguazai/ssd/ssd1/www/f.15386.cn/vendor/services.php ( 0.14 KB )
  53. /yingpanguazai/ssd/ssd1/www/f.15386.cn/vendor/topthink/framework/src/think/service/PaginatorService.php ( 1.52 KB )
  54. /yingpanguazai/ssd/ssd1/www/f.15386.cn/vendor/topthink/framework/src/think/service/ValidateService.php ( 0.99 KB )
  55. /yingpanguazai/ssd/ssd1/www/f.15386.cn/vendor/topthink/framework/src/think/service/ModelService.php ( 2.04 KB )
  56. /yingpanguazai/ssd/ssd1/www/f.15386.cn/vendor/topthink/think-trace/src/Service.php ( 0.77 KB )
  57. /yingpanguazai/ssd/ssd1/www/f.15386.cn/vendor/topthink/framework/src/think/Middleware.php ( 6.72 KB )
  58. /yingpanguazai/ssd/ssd1/www/f.15386.cn/vendor/topthink/framework/src/think/initializer/BootService.php ( 0.77 KB )
  59. /yingpanguazai/ssd/ssd1/www/f.15386.cn/vendor/topthink/think-orm/src/Paginator.php ( 11.86 KB )
  60. /yingpanguazai/ssd/ssd1/www/f.15386.cn/vendor/topthink/think-validate/src/Validate.php ( 63.20 KB )
  61. /yingpanguazai/ssd/ssd1/www/f.15386.cn/vendor/topthink/think-orm/src/Model.php ( 23.55 KB )
  62. /yingpanguazai/ssd/ssd1/www/f.15386.cn/vendor/topthink/think-orm/src/model/concern/Attribute.php ( 21.05 KB )
  63. /yingpanguazai/ssd/ssd1/www/f.15386.cn/vendor/topthink/think-orm/src/model/concern/AutoWriteData.php ( 4.21 KB )
  64. /yingpanguazai/ssd/ssd1/www/f.15386.cn/vendor/topthink/think-orm/src/model/concern/Conversion.php ( 6.44 KB )
  65. /yingpanguazai/ssd/ssd1/www/f.15386.cn/vendor/topthink/think-orm/src/model/concern/DbConnect.php ( 5.16 KB )
  66. /yingpanguazai/ssd/ssd1/www/f.15386.cn/vendor/topthink/think-orm/src/model/concern/ModelEvent.php ( 2.33 KB )
  67. /yingpanguazai/ssd/ssd1/www/f.15386.cn/vendor/topthink/think-orm/src/model/concern/RelationShip.php ( 28.29 KB )
  68. /yingpanguazai/ssd/ssd1/www/f.15386.cn/vendor/topthink/think-helper/src/contract/Arrayable.php ( 0.09 KB )
  69. /yingpanguazai/ssd/ssd1/www/f.15386.cn/vendor/topthink/think-helper/src/contract/Jsonable.php ( 0.13 KB )
  70. /yingpanguazai/ssd/ssd1/www/f.15386.cn/vendor/topthink/think-orm/src/model/contract/Modelable.php ( 0.09 KB )
  71. /yingpanguazai/ssd/ssd1/www/f.15386.cn/vendor/topthink/framework/src/think/Db.php ( 2.88 KB )
  72. /yingpanguazai/ssd/ssd1/www/f.15386.cn/vendor/topthink/think-orm/src/DbManager.php ( 8.52 KB )
  73. /yingpanguazai/ssd/ssd1/www/f.15386.cn/vendor/topthink/framework/src/think/Log.php ( 6.28 KB )
  74. /yingpanguazai/ssd/ssd1/www/f.15386.cn/vendor/topthink/framework/src/think/Manager.php ( 3.92 KB )
  75. /yingpanguazai/ssd/ssd1/www/f.15386.cn/vendor/psr/log/src/LoggerTrait.php ( 2.69 KB )
  76. /yingpanguazai/ssd/ssd1/www/f.15386.cn/vendor/psr/log/src/LoggerInterface.php ( 2.71 KB )
  77. /yingpanguazai/ssd/ssd1/www/f.15386.cn/vendor/topthink/framework/src/think/Cache.php ( 4.92 KB )
  78. /yingpanguazai/ssd/ssd1/www/f.15386.cn/vendor/psr/simple-cache/src/CacheInterface.php ( 4.71 KB )
  79. /yingpanguazai/ssd/ssd1/www/f.15386.cn/vendor/topthink/think-helper/src/helper/Arr.php ( 16.63 KB )
  80. /yingpanguazai/ssd/ssd1/www/f.15386.cn/vendor/topthink/framework/src/think/cache/driver/File.php ( 7.84 KB )
  81. /yingpanguazai/ssd/ssd1/www/f.15386.cn/vendor/topthink/framework/src/think/cache/Driver.php ( 9.03 KB )
  82. /yingpanguazai/ssd/ssd1/www/f.15386.cn/vendor/topthink/framework/src/think/contract/CacheHandlerInterface.php ( 1.99 KB )
  83. /yingpanguazai/ssd/ssd1/www/f.15386.cn/app/Request.php ( 0.09 KB )
  84. /yingpanguazai/ssd/ssd1/www/f.15386.cn/vendor/topthink/framework/src/think/Request.php ( 55.78 KB )
  85. /yingpanguazai/ssd/ssd1/www/f.15386.cn/app/middleware.php ( 0.25 KB )
  86. /yingpanguazai/ssd/ssd1/www/f.15386.cn/vendor/topthink/framework/src/think/Pipeline.php ( 2.61 KB )
  87. /yingpanguazai/ssd/ssd1/www/f.15386.cn/vendor/topthink/think-trace/src/TraceDebug.php ( 3.40 KB )
  88. /yingpanguazai/ssd/ssd1/www/f.15386.cn/vendor/topthink/framework/src/think/middleware/SessionInit.php ( 1.94 KB )
  89. /yingpanguazai/ssd/ssd1/www/f.15386.cn/vendor/topthink/framework/src/think/Session.php ( 1.80 KB )
  90. /yingpanguazai/ssd/ssd1/www/f.15386.cn/vendor/topthink/framework/src/think/session/driver/File.php ( 6.27 KB )
  91. /yingpanguazai/ssd/ssd1/www/f.15386.cn/vendor/topthink/framework/src/think/contract/SessionHandlerInterface.php ( 0.87 KB )
  92. /yingpanguazai/ssd/ssd1/www/f.15386.cn/vendor/topthink/framework/src/think/session/Store.php ( 7.12 KB )
  93. /yingpanguazai/ssd/ssd1/www/f.15386.cn/vendor/topthink/framework/src/think/Route.php ( 23.73 KB )
  94. /yingpanguazai/ssd/ssd1/www/f.15386.cn/vendor/topthink/framework/src/think/route/RuleName.php ( 5.75 KB )
  95. /yingpanguazai/ssd/ssd1/www/f.15386.cn/vendor/topthink/framework/src/think/route/Domain.php ( 2.53 KB )
  96. /yingpanguazai/ssd/ssd1/www/f.15386.cn/vendor/topthink/framework/src/think/route/RuleGroup.php ( 22.43 KB )
  97. /yingpanguazai/ssd/ssd1/www/f.15386.cn/vendor/topthink/framework/src/think/route/Rule.php ( 26.95 KB )
  98. /yingpanguazai/ssd/ssd1/www/f.15386.cn/vendor/topthink/framework/src/think/route/RuleItem.php ( 9.78 KB )
  99. /yingpanguazai/ssd/ssd1/www/f.15386.cn/route/app.php ( 1.72 KB )
  100. /yingpanguazai/ssd/ssd1/www/f.15386.cn/vendor/topthink/framework/src/think/facade/Route.php ( 4.70 KB )
  101. /yingpanguazai/ssd/ssd1/www/f.15386.cn/vendor/topthink/framework/src/think/route/dispatch/Controller.php ( 4.74 KB )
  102. /yingpanguazai/ssd/ssd1/www/f.15386.cn/vendor/topthink/framework/src/think/route/Dispatch.php ( 10.44 KB )
  103. /yingpanguazai/ssd/ssd1/www/f.15386.cn/app/controller/Index.php ( 4.81 KB )
  104. /yingpanguazai/ssd/ssd1/www/f.15386.cn/app/BaseController.php ( 2.05 KB )
  105. /yingpanguazai/ssd/ssd1/www/f.15386.cn/vendor/topthink/think-orm/src/facade/Db.php ( 0.93 KB )
  106. /yingpanguazai/ssd/ssd1/www/f.15386.cn/vendor/topthink/think-orm/src/db/connector/Mysql.php ( 5.44 KB )
  107. /yingpanguazai/ssd/ssd1/www/f.15386.cn/vendor/topthink/think-orm/src/db/PDOConnection.php ( 52.47 KB )
  108. /yingpanguazai/ssd/ssd1/www/f.15386.cn/vendor/topthink/think-orm/src/db/Connection.php ( 8.39 KB )
  109. /yingpanguazai/ssd/ssd1/www/f.15386.cn/vendor/topthink/think-orm/src/db/ConnectionInterface.php ( 4.57 KB )
  110. /yingpanguazai/ssd/ssd1/www/f.15386.cn/vendor/topthink/think-orm/src/db/builder/Mysql.php ( 16.58 KB )
  111. /yingpanguazai/ssd/ssd1/www/f.15386.cn/vendor/topthink/think-orm/src/db/Builder.php ( 24.06 KB )
  112. /yingpanguazai/ssd/ssd1/www/f.15386.cn/vendor/topthink/think-orm/src/db/BaseBuilder.php ( 27.50 KB )
  113. /yingpanguazai/ssd/ssd1/www/f.15386.cn/vendor/topthink/think-orm/src/db/Query.php ( 15.71 KB )
  114. /yingpanguazai/ssd/ssd1/www/f.15386.cn/vendor/topthink/think-orm/src/db/BaseQuery.php ( 45.13 KB )
  115. /yingpanguazai/ssd/ssd1/www/f.15386.cn/vendor/topthink/think-orm/src/db/concern/TimeFieldQuery.php ( 7.43 KB )
  116. /yingpanguazai/ssd/ssd1/www/f.15386.cn/vendor/topthink/think-orm/src/db/concern/AggregateQuery.php ( 3.26 KB )
  117. /yingpanguazai/ssd/ssd1/www/f.15386.cn/vendor/topthink/think-orm/src/db/concern/ModelRelationQuery.php ( 20.07 KB )
  118. /yingpanguazai/ssd/ssd1/www/f.15386.cn/vendor/topthink/think-orm/src/db/concern/ParamsBind.php ( 3.66 KB )
  119. /yingpanguazai/ssd/ssd1/www/f.15386.cn/vendor/topthink/think-orm/src/db/concern/ResultOperation.php ( 7.01 KB )
  120. /yingpanguazai/ssd/ssd1/www/f.15386.cn/vendor/topthink/think-orm/src/db/concern/WhereQuery.php ( 19.37 KB )
  121. /yingpanguazai/ssd/ssd1/www/f.15386.cn/vendor/topthink/think-orm/src/db/concern/JoinAndViewQuery.php ( 7.11 KB )
  122. /yingpanguazai/ssd/ssd1/www/f.15386.cn/vendor/topthink/think-orm/src/db/concern/TableFieldInfo.php ( 2.63 KB )
  123. /yingpanguazai/ssd/ssd1/www/f.15386.cn/vendor/topthink/think-orm/src/db/concern/Transaction.php ( 2.77 KB )
  124. /yingpanguazai/ssd/ssd1/www/f.15386.cn/vendor/topthink/framework/src/think/log/driver/File.php ( 5.96 KB )
  125. /yingpanguazai/ssd/ssd1/www/f.15386.cn/vendor/topthink/framework/src/think/contract/LogHandlerInterface.php ( 0.86 KB )
  126. /yingpanguazai/ssd/ssd1/www/f.15386.cn/vendor/topthink/framework/src/think/log/Channel.php ( 3.89 KB )
  127. /yingpanguazai/ssd/ssd1/www/f.15386.cn/vendor/topthink/framework/src/think/event/LogRecord.php ( 1.02 KB )
  128. /yingpanguazai/ssd/ssd1/www/f.15386.cn/vendor/topthink/think-helper/src/Collection.php ( 16.47 KB )
  129. /yingpanguazai/ssd/ssd1/www/f.15386.cn/vendor/topthink/framework/src/think/facade/View.php ( 1.70 KB )
  130. /yingpanguazai/ssd/ssd1/www/f.15386.cn/vendor/topthink/framework/src/think/View.php ( 4.39 KB )
  131. /yingpanguazai/ssd/ssd1/www/f.15386.cn/vendor/topthink/framework/src/think/Response.php ( 8.81 KB )
  132. /yingpanguazai/ssd/ssd1/www/f.15386.cn/vendor/topthink/framework/src/think/response/View.php ( 3.29 KB )
  133. /yingpanguazai/ssd/ssd1/www/f.15386.cn/vendor/topthink/framework/src/think/Cookie.php ( 6.06 KB )
  134. /yingpanguazai/ssd/ssd1/www/f.15386.cn/vendor/topthink/think-view/src/Think.php ( 8.38 KB )
  135. /yingpanguazai/ssd/ssd1/www/f.15386.cn/vendor/topthink/framework/src/think/contract/TemplateHandlerInterface.php ( 1.60 KB )
  136. /yingpanguazai/ssd/ssd1/www/f.15386.cn/vendor/topthink/think-template/src/Template.php ( 46.61 KB )
  137. /yingpanguazai/ssd/ssd1/www/f.15386.cn/vendor/topthink/think-template/src/template/driver/File.php ( 2.41 KB )
  138. /yingpanguazai/ssd/ssd1/www/f.15386.cn/vendor/topthink/think-template/src/template/contract/DriverInterface.php ( 0.86 KB )
  139. /yingpanguazai/ssd/ssd1/www/f.15386.cn/runtime/temp/884b124e7eb77b19be33fbfc051ff491.php ( 12.06 KB )
  140. /yingpanguazai/ssd/ssd1/www/f.15386.cn/vendor/topthink/think-trace/src/Html.php ( 4.42 KB )
  1. CONNECT:[ UseTime:0.000585s ] mysql:host=127.0.0.1;port=3306;dbname=f_15386;charset=utf8mb4
  2. SHOW FULL COLUMNS FROM `fenlei` [ RunTime:0.000751s ]
  3. SELECT * FROM `fenlei` WHERE `fid` = 0 [ RunTime:0.000398s ]
  4. SELECT * FROM `fenlei` WHERE `fid` = 63 [ RunTime:0.000313s ]
  5. SHOW FULL COLUMNS FROM `set` [ RunTime:0.000484s ]
  6. SELECT * FROM `set` [ RunTime:0.000196s ]
  7. SHOW FULL COLUMNS FROM `article` [ RunTime:0.000490s ]
  8. SELECT * FROM `article` WHERE `id` = 459737 LIMIT 1 [ RunTime:0.002616s ]
  9. UPDATE `article` SET `lasttime` = 1775297681 WHERE `id` = 459737 [ RunTime:0.001138s ]
  10. SELECT * FROM `fenlei` WHERE `id` = 66 LIMIT 1 [ RunTime:0.000233s ]
  11. SELECT * FROM `article` WHERE `id` < 459737 ORDER BY `id` DESC LIMIT 1 [ RunTime:0.000558s ]
  12. SELECT * FROM `article` WHERE `id` > 459737 ORDER BY `id` ASC LIMIT 1 [ RunTime:0.000350s ]
  13. SELECT * FROM `article` WHERE `id` < 459737 ORDER BY `id` DESC LIMIT 10 [ RunTime:0.003166s ]
  14. SELECT * FROM `article` WHERE `id` < 459737 ORDER BY `id` DESC LIMIT 10,10 [ RunTime:0.000993s ]
  15. SELECT * FROM `article` WHERE `id` < 459737 ORDER BY `id` DESC LIMIT 20,10 [ RunTime:0.000935s ]
0.081812s